くわはらこどもクリニック
- 福岡県福岡市西区下山門4丁目14-33
-
- 小児科
- マイナンバーカードの健康保険証利用可能
- 感染症対策実施
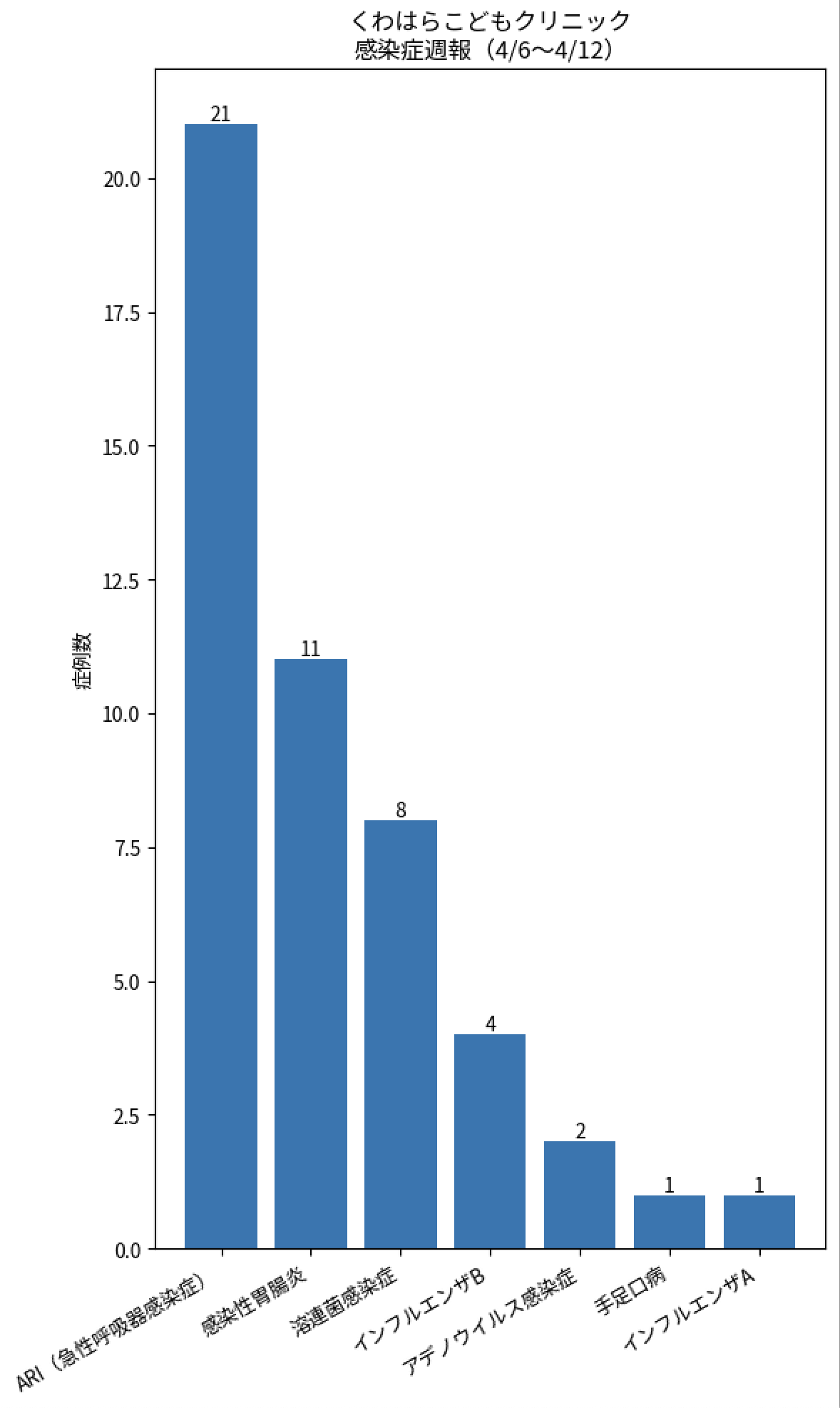
感染症便り2026年4月第2週
最終更新日:2026/04/13 08:14


2026年4月第2週は感染性胃腸炎(嘔吐下痢症)が最多で、幅広い年齢層で見られます。福岡市西区の中でも感染症の頻度に地域差がありますが、溶連菌の検出も多く、インフルエンザも減少したものの散発しています。保育園に行き始めたら風邪症状が・・・という声も多く聞きます。新学期は様々な病原体と出会い、免疫を鍛える時期でもあります。体調の変化を感じたら早めに受診することをお勧めします。
※ARI(急性呼吸器感染症)は発熱、咳、痰、鼻水などいわゆる「風邪症状」をきたす感染症全般を指します。
病児保育の利用24人でした。受け入れ人数には比較的余裕がありますが、ご利用をお考えの方はお早めにお問い合わせください。
当院前の駐車場が満車の場合は、下山門公民館おとなりの月極駐車場(8番、9番)をご利用ください。また、近隣のコインパーキングをご利用された方は受付にお知らせください。1時間分の料金をお支払いいたします。

